全部で78問 挑戦中
-
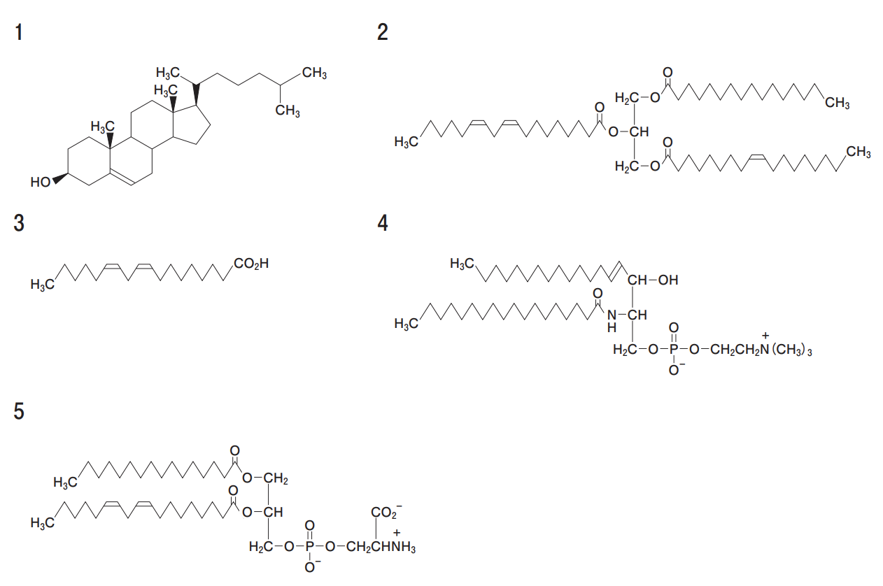
ホスファチジルセリン
20%
※数字(%)は出題頻度
アポトーシス細胞の細胞表面に露出してマクロファージによる貪食を促すホスファチジルセリンはどれか。1つ選べ。
-
(1)
出題頻度について
- ・出題頻度は出題数÷公開中のテスト数となっています。
- ・出題頻度が50%なら、テストで2回に1回は出題されることになります。
- ・出題頻度が100を超える場合は、テストで1回以上必ず出題されることになります。
