全部で203問 挑戦中

午前

  • 熱型

    20%

※数字(%)は出題頻度

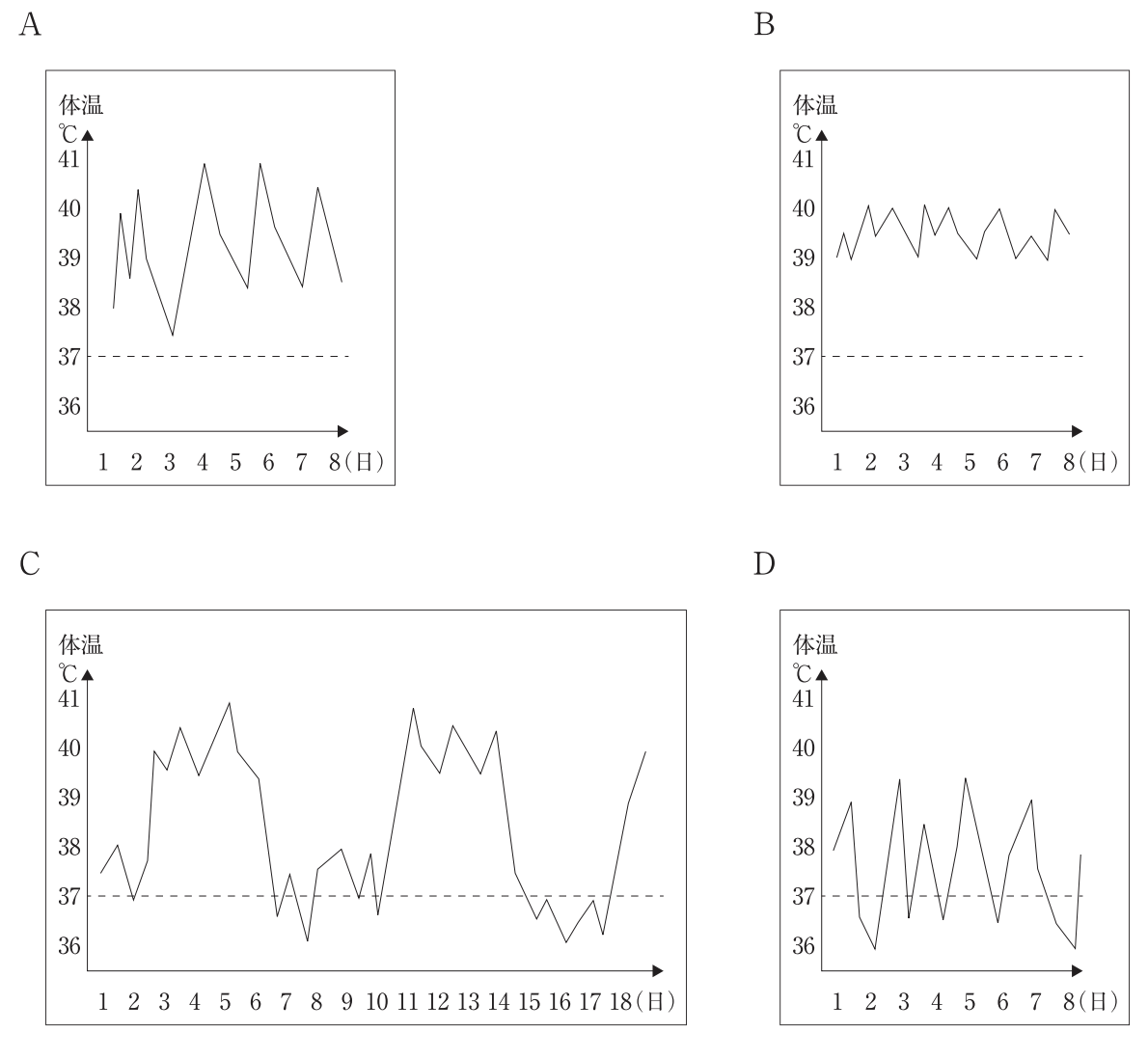
熱型を図に示す。

熱型の種類と図の組合せで正しいのはどれか。
  • (1)

    • 間欠熱ーA

    • 稽留熱ーB

    • 弛張熱ーC

    • 波状熱ーD

出題頻度について
  • ・出題頻度は出題数÷公開中のテスト数となっています。
  • ・出題頻度が50%なら、テストで2回に1回は出題されることになります。
  • ・出題頻度が100を超える場合は、テストで1回以上必ず出題されることになります。